Phenoxybenzamin ist ein Arzneistoff, der zur Gruppe der Alphablocker (α-Sympatholytika) gehört. Er wirkt peripher blutgefäßerweiternd und wird als Antihypertensivum bei Phäochromozytom eingesetzt.
In Deutschland findet Phenoxybenzamin auch als urologisches Spasmolytikum bei neurogenen Blasenentleerungsstörungen Anwendung. Auch bei Katzen wird der Wirkstoff zur besseren Blasenentleerung bei obstruktiver Feline Lower Urinary Tract Disease eingesetzt.
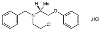
Der Wirkstoff wird in racemischer Form als Hydrochlorid verwendet.
Wirkmechanismus
Phenoxybenzamin ist ein irreversibler Blocker von α1- und α2-Rezeptoren, wobei die Blockade auf einer Alkylierung des Rezeptors beruht.
Unerwünschte Wirkungen
Die gravierendste Nebenwirkung von Phenoxybenzamin ist die orthostatische Hypotonie, die für Alphablocker charakteristisch ist. Im Tierversuch hat sich der Wirkstoff bei intraperitonealer Anwendung als carcinogen erwiesen.
Herstellung
Die Synthese von racemischem Phenoxybenzamin gelingt schrittweise ausgehend von 1-Phenoxypropan-2-ol. Zunächst wird die Alkoholfunktion mittels Thionylchlorid durch ein Chloratom substituiert, dann erfolgt eine nucleophile Substitution mit Ethanolamin. Das so erhaltene sekundäre Amin wird mit Benzylchlorid umgesetzt und anschließend die mit dem Ethanolamin eingeführte Alkoholfunktion analog zum ersten Schritt durch Thionylchlorid zum Chlorderivat umgesetzt. Dieses wird zunächst als Hydrochlorid erhalten, aus dem die freie Base mit Natronlauge freigesetzt wird. Das als Ausgangsmaterial erforderliche 1-Phenoxypropan-2-ol ist aus den gängigen Industrieprodukten Propylenoxid und Phenol zugänglich.
Stereoisomerie
Phenoxybenzamin enthält ein Stereozentrum, es gibt also zwei Enantiomere, die (R)-Form und die (S)-Form. Alle Handelspräparate enthalten den Arzneistoff als Racemat.
Handelsnamen
Phenoxybenzamin ist in Deutschland und Österreich unter dem Namen Dibenzyran im Handel erhältlich. In den Vereinigten Staaten ist der Handelsname Dibenzyline.
Literatur
- T. Karow (Hrsg.): Pharmakologie und Toxikologie. Köln 2005, S. 68.
- C. J. Estler (Hrsg.): Pharmakologie und Toxikologie. 4. Auflage. Schattauer, Stuttgart u. New York 1995, S. 69–71.
- H. Hildebrandt (Hrsg.): Pschyrembel Klinisches Wörterbuch. 257. Auflage. Walter de Gruyter, Berlin/New York 1994.
Einzelnachweise

![]()


